【科学科普】心脑血管遇上“魔鬼”冬季,益生菌如何精准发力?
冬天,对于患有高血压、高血脂和高血糖(简称“三高”)的人群来说,这个季节暗藏着不小的挑战与考验:骤降的气温以及早晚的温差让脆弱的心脑血管倍感压力,新闻中不乏冬季降温引发心脑血管疾病的警示与提醒。
为何气温骤降会影响心脑血管健康?面临寒冷的冬季,怎样为动脉筑好“健康防线”?不妨先来了解一下中创益科基于血管健康所开创的复配益生菌科学前沿。
1. 冬季,心脑血管的“魔鬼季节”
如今,心脑血管疾病正成为影响国民健康的“头号杀手”,而且这种威胁越来越年轻化。根据最新发布的《中国心血管健康与疾病报告2023》,我国心脑血管疾病的现患人数已达到3.3亿,每5例死亡中就有2例死于心脑血管疾病。20-39岁的高风险或患病人群占比高达44.3%,意味着几乎一半的年轻人正处于心脑血管疾病的潜在危险中。

图:中国城乡居民主要疾病死因构成比
来源:《中国心血管健康与疾病报告2023》
环境温度,是影响人体血管健康的一个重要因素。在体温调节的控制下,大部分人的体温基本是恒定的,大约在36.5℃到37.5℃之间,此时体内毛细血管舒张平衡,感觉非常舒适。而较大幅度的气温下降则对心脑血管健康不利,冷空气活动会明显影响心血管问题的发生、加重,甚至带来死亡风险。
一项研究发现,气温每降低1℃,心脏疾病死亡率就会增加近2%[1]。中国慢性病前瞻性研究项目数据也表明,在我国,冬季心血管问题的死亡人数比夏季高出四成。
心脑血管问题主要包括高血压、冠心病、中风等,它们的共同特点是血管壁受损、血管弹性下降、血液流通不畅。冬季气温低,血管遇冷容易收缩、痉挛,导致心脑血管供血不足,进一步诱发心肌梗死或者脑梗死等意外;其次,冬天环境通常较为干燥,如果没有及时补水会引起血液粘稠度增加;加之,冬季人们往往倾向于摄入更多高热量、高脂肪的食物以抵御寒冷,进一步加重了心脑血管的负担。而冬季高发的流感、肺炎等感染性问题,也是急性心力衰竭、高血压等的重要诱因之一。
面对这一挑战,除了传统的医疗手段和生活方式的调整外,益生菌这一种新兴的健康“助手”,正逐渐受到人们的关注。
2. “菌”衡三高,不给血管“添堵”
益生菌是一类对人体有益的活性微生物,主要存在于人体肠道内。它们通过调节肠道菌群平衡,促进营养物质的吸收和代谢,维持肠道健康,进而对人体产生多方面的积极影响。近年来,越来越多的研究表明,益生菌的作用远不止于肠道,它们还能通过“肠-脑轴”等机制,影响人体的神经系统、内分泌系统乃至全身健康。
围绕“血管养护”这一方向,中创益科通过“减、调、排、抗”四大维度,科学复配动物双歧杆菌乳亚种F1-7、植物乳植杆菌F3-2、植物乳植杆菌H-87、植物乳植杆菌YZX21、副干酪乳酪杆菌J5、动物双歧杆菌乳亚种KV9、干酪乳酪杆菌YRL577和动物双歧杆菌乳亚种BA-C9共八大菌株,以及多种益生元、磷虾油微囊粉、桑叶提取物和橄榄果提取物等,为三高人群带来了绿色、安全、优质的天然解决方案。
减:斑块面积
在心脑血管健康问题中,以动脉粥样硬化相关的情况最为常见。在动脉粥样硬化模型中也可以看到,小鼠的主动脉管壁增厚变硬易破损,血管内有明显的钙化斑块。经由F1-7和磷虾油组合物干预后,小鼠主动脉内壁斑块显著减少;通过软件分析斑块覆盖面积,两者干预对高脂饮食导致的动脉粥样硬化效果的改善更明显[2]。

图:小鼠的主动脉斑块覆盖面积
模型组(AS组)、F1-7干预组(F1-7组)、磷虾油干预组(KO组)、F1-7+磷虾油组合干预组(KF组)
中创益科的“一种改善动脉粥样硬化炎症的动物双歧杆菌F1-7和磷虾油组合物制备方法及应用”发明专利中,研究人员对受试小鼠的心血管组织进行HE染色发现,与模型组相比,KF组小鼠主动脉基本无斑块沉着,内膜光滑且内皮细胞完整,平滑肌细胞排列相对整齐,表现出对动脉粥样硬化的改善[3]。
调:血脂、血糖水平
血脂升高是导致动脉粥样硬化的风险因素,尤其需要关注低密度脂蛋白胆固醇(LDL-C)水平的升高、甘油三酯升高和高密度脂蛋白胆固醇(HDL-C)偏低等。HDL-C又被称为“好胆固醇”,有助于从血管壁中清除多余的胆固醇,将其运送回肝脏进行处理和排除;LDL-C被称为“坏胆固醇”,可以造成血管内皮受损,形成胆固醇斑块。
动脉粥样硬化小鼠联合补充F1-7和磷虾油组合物后发现,其血清中的高密度脂蛋白含量水平显著提升,低密度脂蛋白水平显著下降。检测小鼠血清总胆固醇(TC),模型组小鼠TC含量升高到11.82±0.95mmol/L,F1-7组、磷虾油组分别降低30%,而F1-7和磷虾油联合干预后小鼠TC显著降低40%[2]。

图:小鼠的胆固醇变化
模型组(AS组)、F1-7干预组(F1-7组)、磷虾油干预组(KO组)、F1-7+磷虾油组合干预组(KF组)
副干酪乳酪杆菌J5和植物乳杆菌H-87,也会影响小鼠的TG和TC含量。研究表明,J5与白藜芦醇联合使用能有效抑制慢性酒精喂养小鼠的脂质增加,降低肝脏中的TG、TC含量,且两者相互联合的预防效果与阳性药物硫普罗宁组无显著性差异(P>0.05)[4]。基于高脂饮食诱导的肥胖小鼠研究也证实,H-87也能减少小鼠血清甘油三酯和胆固醇的水平[5]。
作为心脑血管问题的重要风险因素之一,血糖水平异常引起的继发性脂代谢异常同样会对血管造成一定损伤。研究证实,中创益科F1-7、YZX21菌株可增加小鼠GLP-1水平,促进机体进行胰岛素分泌,且抑制胰高血糖素基因,进而下调血糖;F1-7、YZX21、J5菌株均被证实有助于缓解胰岛素抵抗[6];此外,J5也可能影响糖化血红蛋白水平,这是评估长期血糖控制情况的重要指标。
排:胆汁酸
胆汁酸是胆汁的重要成分,在脂肪代谢中起着重要作用。研究表明,F1-7和磷虾油联合干预后,动脉粥样硬化小鼠的粪便内总胆汁酸含量得到显著提升;小鼠肠道内法尼醇X受体(FXR)的表达下降(p<0 .05),FXR是一种核受体,在肝、肾和小肠中是胆汁酸的传感器[7-8];提升了小鼠肝脏中胆汁酸代谢关键蛋白CYP7A1的表达含量。
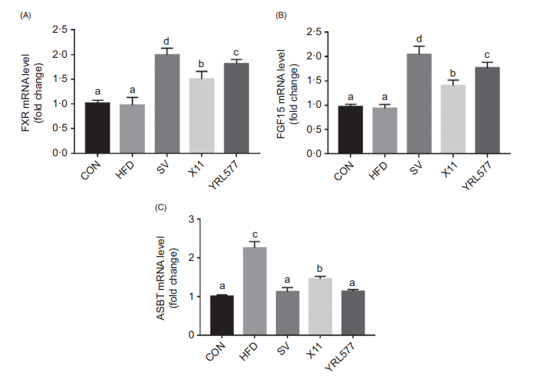
干酪乳酪杆菌YRL577,或可通过调节肠道胆汁酸通路相关基因的表达,影响脂质代谢。具体来说,YRL577可上调FXR和成纤维细胞生长因子15(FGF15)的mRNA水平,下调顶端Na依赖性胆汁酸转运蛋白(ASBT)的mRNA水平[9]。

图:YRL577调节肠道胆汁酸通路相关基因的表达
抗:氧化及炎症反应
心脑血管问题,尤其是动脉粥样硬化,常伴随着一系列的氧化损伤和炎症反应,损伤血管内皮细胞。F1‑7和磷虾油互作表现出了更好的抗炎作用,可通过作用于TLR4/MYD88/NF‑κB通路,改善动脉粥样硬化相关的炎性反应[3]。
3. 呵护动脉,中创益科筑好健康防线
现如今,心脑健康问题已不再是老年人的“专利”,高血压、高血脂、糖尿病等“富贵病”的年轻化趋势,加上吸烟、酗酒和熬夜等不良生活习惯,也开始为年轻人的血管健康埋下了隐患。中创益科特别打造的“血管养护”复配菌粉,通过对自主研发的多个专利菌株进行科学复配,从多个维度精准发力,充分展现了益生菌在心脑血管健康中的重要作用,为“三高”人群的健康护航。